Perfect Squares [LeetCode] | Training dragons the hard way - Programming Every Day!
maximum perfect square less then n will be √n. So, we can check for each numbers in j=1 to √n whether we can break n into two parts such that one part is a perfect square j*j and the remaining part n-j*j can be broken into perfect squares in similar manner. Clearly it has a recurrence relation
https://xuezhashuati.blogspot.com/2017/04/lintcode-513-perfect-squares.html
f[i]表示能够组成i的最小的perfect square个数。
当check到i的时候,我们往前看,看每一个能够再加一个perfect square数组成i的最小的perfect square的数字。
http://bookshadow.com/weblog/2015/09/09/leetcode-perfect-squares/
int numSquares(int n) {
static vector<int> dp {0};
int m = dp.size();
dp.resize(max(m, n+1), INT_MAX);
for (int i=1, i2; (i2 = i*i)<=n; ++i)
for (int j=max(m, i2); j<=n; ++j)
if (dp[j] > dp[j-i2] + 1) dp[j] = dp[j-i2] + 1;
return dp[n];
}
http://buttercola.blogspot.com/2015/09/leetcode-perfect-squares.html
https://asanchina.wordpress.com/2015/09/11/perfect-squares/
public int numSquares(int n) {
if (n <= 0) {
return 0;
}
int[] dp = new int[n + 1];
dp[0] = 0;
for (int i = 1; i <= n; i++) {
int maxSqrNum = (int)Math.floor(Math.sqrt(i));
int min = Integer.MAX_VALUE;
for (int j = 1; j <= maxSqrNum; j++) {
min = Math.min(min, dp[i - j * j] + 1);
}
dp[i] = min;
}
return dp[n];
}
class Solution(object):
_dp = [0]
def numSquares(self, n):
dp = self._dp
while len(dp) <= n:
dp += min(dp[-i*i] for i in range(1, int(len(dp)**0.5+1))) + 1,
return dp[n]
https://leetcode.com/discuss/58056/summary-of-different-solutions-bfs-static-and-mathematics
II. Breadth First Search
Summary of 4 different solutions (BFS, DP, static DP and mathematics)
https://leetcode.com/problems/perfect-squares/discuss/71475/Short-Python-solution-using-BFS
For the time complexity: would it be n²?
https://blog.csdn.net/elton_xiao/article/details/49021623
基本模型,仍是 number1 = square + number2
即,number1, number2当作节点,而他们之间的边,则是一个 平方。
即一个数,加上一个 平方, 从而得到另一个数。
从根结点整数0从发,进行广度优先搜索,直到节点n为止。
即,
节点0加上一系列平方,得到一下层次的各个结点。
而对下一层次的结点,重复进行上面的步骤。
此处的visited数组很重要,否则会出现内存不足。
因为实际上这是一个图,而不是单纯的树。
https://leetcode.com/problems/perfect-squares/discuss/165688/BFS-and-DP
def numSquares(self, n):
if n < 2:
return n
lst = []
i = 1
while i * i <= n:
lst.append( i * i )
i += 1
cnt = 0
toCheck = {n}
while toCheck:
cnt += 1
temp = set()
for x in toCheck:
for y in lst:
if x == y:
return cnt
if x < y:
break
temp.add(x-y)
toCheck = temp
return cnt
https://leetcode.com/discuss/58056/summary-of-different-solutions-bfs-static-and-mathematics
http://nb4799.neu.edu/wordpress/?p=1010
https://github.com/YaokaiYang-assaultmaster/LeetCode/blob/master/LeetcodeAlgorithmQuestions/279.%20Perfect%20Squares.md
X. DFS
public int numSquares(int n) { return numSquares(n, new int[n + 1]); } public int numSquares(int n, int[] memo) { if (n == 0) { return 0; } if (memo[n] != 0) { return memo[n]; } double sqrt = Math.sqrt(n); int sqrt1 = (int) (1 + sqrt / 2); int sqrt2 = (int) sqrt; int count = 5; for (int i = sqrt1; i <= sqrt2; i++) { count = Math.min(count, 1 + numSquares(n - i * i, memo)); } memo[n] = count; return count; }
https://blog.csdn.net/elton_xiao/article/details/49021623
int numSquares(int n) {
vector<int> nums(n+1);
return helper(n, nums, n);
}
int helper(int n, vector<int>& nums, int level) {
if (!n)
return 0;
if (nums[n])
return nums[n];
if (!level)
return -1;
--level;
const int up = sqrt(n);
int ans = n;
int res = n;
for (int i=up; i>=1 && res; i--) {
res = helper(n-i*i, nums, min(ans, level));
if (res >= 0)
ans = min(ans, res);
}
nums[n] = ans + 1;
return nums[n];
}
https://leetcode.com/discuss/62782/recursive-dfs-solution-in-java-which-i-believe-has-o-run-time
public int numSquares(int n) {
return dfs(n,0,n);
}
public int dfs(int n, int level, int min) {
if(n == 0 || level >= min) return level;
for(int i = (int) Math.sqrt(n); i > 0; i--) {
min = dfs(n - ((int)Math.pow(i,2)), level+1, min);
}
return min;
}
This doesn't use visited - not efficient.
http://traceformula.blogspot.com/2015/09/perfect-squares-leetcode-part-2-solve.html
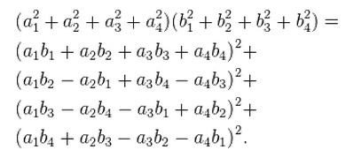
I want to confirm that all the returned values will always be in range [1,4] inclusively. Why is that? It is because we have Lagrange's Four Square Theorem, also known as Bachet's conjecture:
Every natural numbers can be expressed as a sum of four square numbers. (*)
As a note, many proofs of the theorem use the Euler's four square identity:
From the article, you can find that if a number is in the form n = 4^r (8k+7)(Where ^ is power), then n cannot be represented as a sum of less than 4 perfect squares. If n is not in the above form, then n can be represented as a sum of 1, 2, or 3 perfect squares.
https://discuss.leetcode.com/topic/24255/summary-of-4-different-solutions-bfs-dp-static-dp-and-mathematics/2
X. Math
这道题是考察四平方和定理,to be honest, 这是我第一次听说这个定理,天啦撸,我的数学是语文老师教的么?! 闲话不多扯,回来做题。先来看第一种很高效的方法,根据四平方和定理,任意一个正整数均可表示为4个整数的平方和,其实是可以表示为4个以内的平方数之和,那么就是说返回结果只有1,2,3或4其中的一个,首先我们将数字化简一下,由于一个数如果含有因子4,那么我们可以把4都去掉,并不影响结果,比如2和8,3和12等等,返回的结果都相同,读者可自行举更多的栗子。还有一个可以化简的地方就是,如果一个数除以8余7的话,那么肯定是由4个完全平方数组成,这里就不证明了,因为我也不会证明,读者可自行举例验证。那么做完两步后,一个很大的数有可能就会变得很小了,大大减少了运算时间,下面我们就来尝试的将其拆为两个平方数之和,如果拆成功了那么就会返回1或2,因为其中一个平方数可能为0. (注:由于输入的n是正整数,所以不存在两个平方数均为0的情况)。注意下面的!!a + !!b这个表达式,可能很多人不太理解这个的意思,其实很简单,感叹号!表示逻辑取反,那么一个正整数逻辑取反为0,再取反为1,所以用两个感叹号!!的作用就是看a和b是否为正整数,都为正整数的话返回2,只有一个是正整数的话返回1
Given a positive integer n, find the least number of perfect square numbers (for example,
1, 4, 9, 16, ...) which sum to n.
For example, given n =
http://www.zrzahid.com/least-number-of-perfect-squares-that-sums-to-n/12, return 3 because 12 = 4 + 4 + 4; given n = 13, return 2 because 13 = 4 + 9.maximum perfect square less then n will be √n. So, we can check for each numbers in j=1 to √n whether we can break n into two parts such that one part is a perfect square j*j and the remaining part n-j*j can be broken into perfect squares in similar manner. Clearly it has a recurrence relation
ps(n)=j*j+ps(n-j*j), for all possible 1≤j≤√n. We need to find such j that minimizes number of perfect squares generated.Let, PSN(i) is minimum number of perfect squares that sum to i PSN(i) = min{1+PSN(i-j*j)}, for all j, 1≤j≤√n
O(nlogn) DP solution
https://discuss.leetcode.com/topic/26400/an-easy-understanding-dp-solution-in-java/
https://discuss.leetcode.com/topic/26400/an-easy-understanding-dp-solution-in-java/
public static int perfectSquareDP(int n){ if(n <= 0){ return 0; } int[] dp = new int[n+1]; Arrays.fill(dp, Integer.MAX_VALUE); dp[0] = 0; dp[1] = 1; //to compute least perfect for n we compute top down for each //possible value sum from 2 to n for(int i = 2; i<=n; i++){ //for a particular value i we can break it as sum of a perfect square j*j and //all perfect squares from solution of the remainder (i-j*j) for(int j = 1; j*j<=i; j++){ dp[i] = Math.min(dp[i], 1+dp[i-j*j]); } } return dp[n]; }Fastest Solution – Lagrange’s four-square theorem
private static boolean is_square(int n){ int sqrt_n = (int)(Math.sqrt(n)); return (sqrt_n*sqrt_n == n); } // Based on Lagrange's Four Square theorem, there // are only 4 possible results: 1, 2, 3, 4. public static int perfectSquaresLagrange(int n) { // If n is a perfect square, return 1. if(is_square(n)) { return 1; } // The result is 4 if n can be written in the // form of 4^k*(8*m + 7). while ((n & 3) == 0) // n%4 == 0 { n >>= 2; } if ((n & 7) == 7) // n%8 == 7 { return 4; } // Check whether 2 is the result. int sqrt_n = (int)(Math.sqrt(n)); for(int i = 1; i <= sqrt_n; i++) { if (is_square(n - i*i)) { return 2; } } return 3; }X. 动态规划(Dynamic Programming) - 时间复杂度都是O(n3/2)
https://xuezhashuati.blogspot.com/2017/04/lintcode-513-perfect-squares.html
f[i]表示能够组成i的最小的perfect square个数。
当check到i的时候,我们往前看,看每一个能够再加一个perfect square数组成i的最小的perfect square的数字。
public int numSquares(int n) { int[] f = new int[n + 1]; for (int i = 1; i <= n; i++) { f[i] = i; for (int j = 2; j * j <= i; j++) { f[i] = Math.min(f[i - j * j] + 1, f[i]); } } return f[n]; }https://www.cnblogs.com/struggleli/p/6934287.html
http://bookshadow.com/weblog/2015/09/09/leetcode-perfect-squares/
时间复杂度:O(n * sqrt n)
初始化将dp数组置为无穷大;令dp[y * y] = 1,其中:y * y <= n
状态转移方程:
其中:x + y * y <= n
http://www.cnblogs.com/grandyang/p/4800552.html
public int numSquares(int n) {
int dp[] = new int[n + 1];
Arrays.fill(dp, Integer.MAX_VALUE);
for (int i = 1; i * i <= n; i++) {
dp[i * i] = 1;
}
for (int i = 1; i <= n; i++) {
for (int j = 1; i + j * j <= n; j++) {
dp[i + j * j] = Math.min(dp[i] + 1, dp[i + j * j]);
}
}
return dp[n];
}http://www.cnblogs.com/grandyang/p/4800552.html
int numSquares(int n) {
static vector<int> dp {0};
int m = dp.size();
dp.resize(max(m, n+1), INT_MAX);
for (int i=1, i2; (i2 = i*i)<=n; ++i)
for (int j=max(m, i2); j<=n; ++j)
if (dp[j] > dp[j-i2] + 1) dp[j] = dp[j-i2] + 1;
return dp[n];
}
http://buttercola.blogspot.com/2015/09/leetcode-perfect-squares.html
public int numSquares(int n) { if (n <= 0) { return 0; } int[] dp = new int[n + 1]; for (int i = 1; i <= n; i++) { dp[i] = Integer.MAX_VALUE;//\\ for (int j = 1; j * j <= i; j++) { dp[i] = Math.min(dp[i], dp[i - j * j] + 1); } } return dp[n]; } public int numSquares(int n) {
if(n==1 || n==2 || n==3) return n;
//dp[i] store the result of "i"
int[] dp = new int[n+1];
dp[0] = 0; dp[1] = 1; dp[2] = 2; dp[3] = 3;
for(int i = 4; i < n+1; ++i)
{
//now divide i to two parts: i = left + right
int right = 1;
dp[i] = i;
while(i >= right*right)
{
dp[i] = dp[i]>dp[i-right*right]+1?dp[i-right*right]+1:dp[i];
++right;
}
}
return dp[n];
}
https://github.com/shawnfan/LeetCode/blob/master/Java/Perfect%20Squares.javapublic int numSquares(int n) {
if (n <= 0) {
return 0;
}
int[] dp = new int[n + 1];
dp[0] = 0;
for (int i = 1; i <= n; i++) {
int maxSqrNum = (int)Math.floor(Math.sqrt(i));
int min = Integer.MAX_VALUE;
for (int j = 1; j <= maxSqrNum; j++) {
min = Math.min(min, dp[i - j * j] + 1);
}
dp[i] = min;
}
return dp[n];
}
int numSquares(int n) { vector<int> dp(n + 1,INT_MAX); dp[0] = 0; for (int i = 0; i <= n; i++) { for (int j = 1; j *j + i <= n; j++) { dp[i + j * j] = min(dp[i + j * j],dp[i] + 1); } } return dp[n]; }
Recursive Version: O(n * sqrt(n)) dp递归, 同样复杂度,但过不了oj
int helper(unordered_map<int,int> &dic,int n) { if (n < 4) return n; if (dic.find(n) != dic.end()) return dic[n]; int minLen = INT_MAX; int i = (int)sqrt(n); for (; i > 0; i--) { minLen = min(minLen,helper(dic,n - i * i) + 1); } dic[n] = minLen; return minLen; } int numSquares(int n) { unordered_map<int,int> dic; return helper(dic,n); }
由于该题有许多大型的测试样例,因此对于速度比较慢的编程语言,在测试样例之间共享计算结果,可以节省时间开销。
https://leetcode.com/discuss/58056/summary-of-different-solutions-bfs-static-and-mathematics
A Static DP solution in Java: 15ms.
static List<Integer> result = new ArrayList<>();
public int numSquares(int n) {
if (result.size() == 0) {
result.add(0);
}
while (result.size() <= n) {
int m = result.size();
int tempMin = Integer.MAX_VALUE;
for (int j = 1; j * j <= m; j++) {
tempMin = Math.min(tempMin, result.get(m - j * j) + 1);
}
result.add(tempMin);
}
return result.get(n);
}
II. Breadth First Search
Summary of 4 different solutions (BFS, DP, static DP and mathematics)
https://leetcode.com/problems/perfect-squares/discuss/71475/Short-Python-solution-using-BFS
For the time complexity: would it be n²?
https://blog.csdn.net/elton_xiao/article/details/49021623
基本模型,仍是 number1 = square + number2
即,number1, number2当作节点,而他们之间的边,则是一个 平方。
即一个数,加上一个 平方, 从而得到另一个数。
从根结点整数0从发,进行广度优先搜索,直到节点n为止。
即,
节点0加上一系列平方,得到一下层次的各个结点。
而对下一层次的结点,重复进行上面的步骤。
此处的visited数组很重要,否则会出现内存不足。
因为实际上这是一个图,而不是单纯的树。
https://leetcode.com/problems/perfect-squares/discuss/165688/BFS-and-DP
public int numSquares(int n) {
Queue<Integer> queue = new LinkedList<>();
queue.add(0);
int count = 0;
Set<Integer> visited = new HashSet<>();
visited.add(0);
while (!queue.isEmpty()) {
int size = queue.size();
for (int sz = 0; sz < size; sz++) {
int cur = queue.poll();
if (cur > n) {
continue;
}
if (cur == n) {
return count;
}
for (int i = 1; cur + i * i <= n; i++) {
if (visited.contains(cur + i * i)) {
continue;
}
queue.add(cur + i * i);
visited.add(cur + i * i);
}
}
count++;
}
return -1;
}
http://traceformula.blogspot.com/2015/09/perfect-squares-leetcode.html
In general, the time complexity of BFS is O(|V| + |E|) where |V| is the number of vertices in the graph and |E| is the number of edges in the graph. As in the constructed graph, |V| = n and |E| <= n^2. The time complexity of the BFS here is O(n^2).
Picture 1: Graph of numbers
In this problem, we define a graph where each number from 0 to n is a node. Two numbers p < q is connected if (q-p) is a perfect square.
So we can simply do a Breadth First Search from the node 0.
- class Solution(object):
- _dp = [0]
- def numSquares(self, n):
- """
- :type n: int
- :rtype: int
- """
- q1 = [0]
- q2 = []
- level = 0
- visited = [False] * (n+1)
- while True:
- level += 1
- for v in q1:
- i = 0
- while True:
- i += 1
- t = v + i * i
- if t == n: return level
- if t > n: break
- if visited[t]: continue
- q2.append(t)
- visited[t] = True
- q1 = q2
- q2 = []
- return 0
Don’t forget to use a set
visited to record which nodes have been visited. A node can be reached through multiple ways but BFS always makes sure whenever it is reached with the least steps, it is flagged as visited.
Why can’t we use DFS? Why can’t we report steps when we reach n by DFS? Because unlike BFS, DFS doesn’t make sure you are always using the least step to reach a node.
if you want to find “….’s least number to do something”, you can try to think about solving it in BFS way.
def numSquares(self, n):
"""
:type n: int
:rtype: int
"""
# corner case 1
if n < 0:
return -1
# corner case 2
if n==0:
return 1
q = deque()
visited = set()
# val, step
q.append((0,0))
visited.add(0)
while q:
val, step = q.popleft()
for i in xrange(1, n+1):
tmp = val + i**2
if tmp > n:
break
if tmp == n:
return step+1
else:
if tmp not in visited:
visited.add(tmp)
q.append((tmp, step+1))
# Should never reach here
return -1
https://leetcode.com/discuss/62229/short-python-solution-using-bfs
The basic idea of this solution is a BSF search for shortest path, take 12 as an example, as shown below, the shortest path is 12-8-4-0:
if n < 2:
return n
lst = []
i = 1
while i * i <= n:
lst.append( i * i )
i += 1
cnt = 0
toCheck = {n}
while toCheck:
cnt += 1
temp = set()
for x in toCheck:
for y in lst:
if x == y:
return cnt
if x < y:
break
temp.add(x-y)
toCheck = temp
return cnt
https://leetcode.com/discuss/58056/summary-of-different-solutions-bfs-static-and-mathematics
Java BFS implementation: Start from node 0 in queue, and keep pushing in perfect square number + curr value, once we reach number n, we found the solution.
public int numSquares(int n) {
Queue<Integer> q = new LinkedList<>();
Set<Integer> visited = new HashSet<>();
q.offer(0);
visited.add(0);
int depth = 0;
while(!q.isEmpty()) {
int size = q.size();
depth++;
while(size-- > 0) {
int u = q.poll();
for(int i = 1; i*i <= n; i++) {
int v = u+i*i;
if(v == n) {
return depth;
}
if(v > n) {
break;
}
if(!visited.contains(v)) {
q.offer(v);
visited.add(v);
}
}
}
}
return depth;
}
def numSquares(self, n):
"""
:type n: int
:rtype: int
"""
# corner case 1
if n < 0:
return -1
# corner case 2
if n==0:
return 1
q = deque()
visited = set()
# val, step
q.append((0,0))
visited.add(0)
while q:
val, step = q.popleft()
for i in xrange(1, n+1):
tmp = val + i**2
if tmp > n:
break
if tmp == n:
return step+1
else:
if tmp not in visited:
visited.add(tmp)
q.append((tmp, step+1))
# Should never reach here
return -1
Use BFS to solve this problem. We can think of a tree graph in which nodes are value 0, 1,…,n. A link only exists between i and j (i<j) if j=i+square_num. We start from node 0 and add all nodes reachable from 0 to queue. Then we start to fetch elements from the queue to continue to explore until we reach node n. Since BFS guarantees that for every round all nodes in the queue have same depth, so whenever we reach node n, we know the least depth needed to reach n, i.e., the least number of square number to add to n.
Don’t forget to use a set
visited to record which nodes have been visited. A node can be reached through multiple ways but BFS always makes sure whenever it is reached with the least steps, it is flagged as visited.
Why can’t we use DFS? Why can’t we report steps when we reach n by DFS? Because unlike BFS, DFS doesn’t make sure you are always using the least step to reach a node. Imagine DFS may traverse all nodes to reach n becaues each node is its previous node plus one (because one is a square number.) When you reach n, you use n steps. But it may or may not be the least number required to reach n.
This teaches us a lesson that if you want to find “….’s least number to do something”, you can try to think about solving it in BFS way.
In this problem, we define a graph where each number from 0 to n is a node. Two numbers p < q is connected if (q-p) is a perfect square.
So we can simply do a Breadth First Search from the node 0.
- class Solution(object):
- _dp = [0]
- def numSquares(self, n):
- q1 = [0]
- q2 = []
- level = 0
- visited = [False] * (n+1)
- while True:
- level += 1
- for v in q1:
- i = 0
- while True:
- i += 1
- t = v + i * i
- if t == n: return level
- if t > n: break
- if visited[t]: continue
- q2.append(t)
- visited[t] = True
- q1 = q2
- q2 = []
- return 0
https://github.com/YaokaiYang-assaultmaster/LeetCode/blob/master/LeetcodeAlgorithmQuestions/279.%20Perfect%20Squares.md
We can also view this question as a graph question if e treat each number from
Hence, if we abstract this question into searching shortest path in a graph, we can also solve this question via BFS because of its suitability for searching shortest path.
1 to n as nodes. And there is an edge between two nodes i and j if and only if there exists and number k such that i = j + k * k or j = i + k * k, where k*k ≤ i and k*k ≤ j.Hence, if we abstract this question into searching shortest path in a graph, we can also solve this question via BFS because of its suitability for searching shortest path.
Starts from
0, at each level, we would search for the sum of current number and each number from 1*1 to n*n and check if the sum adds up to n, if so, we return the current level, otherwise we continue one level deeper. The following graph gives an example for the tree we search through given n as 5. When we got the path 0+1+4 which is of length 2, we know that we have get the shorest path, aka minimum number of perfect squares needed to sum up to n. 0
/ / | \ \
1 4 9 16 25
/ / / / |
1 4 0 16 25 ...
...
Time complexity:
O(n^(n+1)) because in the worst case we can search n + 1 level in depth (worst case the perfect squares are made up all by 1s) from 0 and the tree can thus contains up to n^(n+1) nodes (n^0 + n^1 + n^2 + ... + n^(n-1) + n^n).
Space complexity:
O(n^n) because of the queue used to store each level we are iterating through. public int numSquares(int n) {
if (n <= 0) return 0;
List<Integer> squares = new ArrayList<>();
for (int i = 1; i <= n; i++) {
squares.add(i * i);
}
int currCount = 0;
Deque<Integer> deque = new ArrayDeque<>();
deque.offer(0);
while (!deque.isEmpty()) {
currCount++;
int currLen = deque.size();
for (int i = 0; i < currLen; i++) {
int tmp = deque.poll();
for (int j = 0; j < squares.size(); j++) {
if (tmp + squares.get(j) == n) {
return currCount;
} else if (tmp + squares.get(j) < n) {
deque.offer(tmp + squares.get(j));
} else {
break;
}
}
}
}
return 0;
}
public int numSquares(int n) { return numSquares(n, new int[n + 1]); } public int numSquares(int n, int[] memo) { if (n == 0) { return 0; } if (memo[n] != 0) { return memo[n]; } double sqrt = Math.sqrt(n); int sqrt1 = (int) (1 + sqrt / 2); int sqrt2 = (int) sqrt; int count = 5; for (int i = sqrt1; i <= sqrt2; i++) { count = Math.min(count, 1 + numSquares(n - i * i, memo)); } memo[n] = count; return count; }
模型同上,进行深度优先搜索。
从n从发,减去一个平方,即得到下一层的一个节点。 直到找到节点0为止。
遍历所有路径,记录下最短的路径数。
1. 遍历时,使用变量level,限制递归的深度。以节省时间。
2. 先减去较大的平方,再减去较小的平方。 这样,当搜索到节点0时,所用的步数(即深度),不会特别大。从而用此深度,限制后续的搜索深度。
因为我们要找的是最短路径。
反之如果从1个平方开始递减的话,会出现大量的无用搜索。比如每次只减掉1,搜索n,将第一次会达到n层。
https://leetcode.com/discuss/62782/recursive-dfs-solution-in-java-which-i-believe-has-o-run-time
I'm not certain on my math so please correct me if I'm wrong, but the run-time should be O(n^(1/2) * n^(1/4) * n^(1/8) * ...), repeating as many times as there are layers in the minimum, which regardless of the number of layers approaches O(n).
- 暴力枚举 brute force time complexity: exponential
int numSquares(int n) {
int digit = sqrt(n);
if(digit*digit == n) return 1;
int minimum = n;//this is the maximum number
dfs(n, 0, digit, 0, minimum);
return minimum;
}
void dfs(int n, int curSum, int curDigit, int curNum, int& minimum)
{
if(curSum > n) return;
if(curSum == n)
{
minimum = minimum>curNum?curNum:minimum;
return;
}
if(curDigit <= 0) return;
if(curDigit == 1)
{
curNum += n-curSum;
minimum = minimum>curNum?curNum:minimum;
return;
}
//either use curDigit or not use
if(n-curSum >= curDigit*curDigit)
dfs(n, curSum+curDigit*curDigit, curDigit, curNum+1, minimum);
dfs(n, curSum, curDigit-1, curNum, minimum);
}
http://blog.csdn.net/u012290414/article/details/48730819This doesn't use visited - not efficient.
http://traceformula.blogspot.com/2015/09/perfect-squares-leetcode-part-2-solve.html
I want to confirm that all the returned values will always be in range [1,4] inclusively. Why is that? It is because we have Lagrange's Four Square Theorem, also known as Bachet's conjecture:
Every natural numbers can be expressed as a sum of four square numbers. (*)
As a note, many proofs of the theorem use the Euler's four square identity:
Picture 1: Euler's Four Square Identity
http://www.alpertron.com.ar/4SQUARES.HTMFrom the article, you can find that if a number is in the form n = 4^r (8k+7)(Where ^ is power), then n cannot be represented as a sum of less than 4 perfect squares. If n is not in the above form, then n can be represented as a sum of 1, 2, or 3 perfect squares.
- public boolean is_square(int n){
- int temp = (int) Math.sqrt(n);
- return temp * temp == n;
- }
- public int numSquares(int n) {
- while ((n & 3) == 0) //n % 4 == 0
- n >>= 2;
- if ((n & 7) == 7) return 4; //n% 8 == 7
- if(is_square(n)) return 1;
- int sqrt_n = (int) Math.sqrt(n);
- for (int i = 1; i<= sqrt_n; i++){
- if (is_square(n-i*i)) return 2;
- }
- return 3;
- }
https://discuss.leetcode.com/topic/24255/summary-of-4-different-solutions-bfs-dp-static-dp-and-mathematics/2
X. Math
这道题是考察四平方和定理,to be honest, 这是我第一次听说这个定理,天啦撸,我的数学是语文老师教的么?! 闲话不多扯,回来做题。先来看第一种很高效的方法,根据四平方和定理,任意一个正整数均可表示为4个整数的平方和,其实是可以表示为4个以内的平方数之和,那么就是说返回结果只有1,2,3或4其中的一个,首先我们将数字化简一下,由于一个数如果含有因子4,那么我们可以把4都去掉,并不影响结果,比如2和8,3和12等等,返回的结果都相同,读者可自行举更多的栗子。还有一个可以化简的地方就是,如果一个数除以8余7的话,那么肯定是由4个完全平方数组成,这里就不证明了,因为我也不会证明,读者可自行举例验证。那么做完两步后,一个很大的数有可能就会变得很小了,大大减少了运算时间,下面我们就来尝试的将其拆为两个平方数之和,如果拆成功了那么就会返回1或2,因为其中一个平方数可能为0. (注:由于输入的n是正整数,所以不存在两个平方数均为0的情况)。注意下面的!!a + !!b这个表达式,可能很多人不太理解这个的意思,其实很简单,感叹号!表示逻辑取反,那么一个正整数逻辑取反为0,再取反为1,所以用两个感叹号!!的作用就是看a和b是否为正整数,都为正整数的话返回2,只有一个是正整数的话返回1
int numSquares(int n) { while (n % 4 == 0) n /= 4; if (n % 8 == 7) return 4; for (int a = 0; a * a <= n; ++a) { int b = sqrt(n - a * a); if (a * a + b * b == n) { return !!a + !!b; } } return 3; }Read full article from Perfect Squares [LeetCode] | Training dragons the hard way - Programming Every Day!

